铜芯电缆载流量表,铝芯电缆载流量对照表
-
来源:金环宇电缆发布日期:2019-09-30 11:58
电缆载流量是指一条电缆线路在输送电能时所通过的电流量,在热稳定条件下,当电缆导体达到长期允许工作温度时的电缆载流量称为电缆长期允许载流量。下面介绍下电缆铜芯与铝芯载流量,希望对你有所帮助。
bvv电线载流量表

金环宇bvv电线载流量表
BV电线载流量表

金环宇BV电线载流量表
RVV电缆载流量表

金环宇RVV电缆载流量表
YJV铜芯、YJLV铝芯电缆单芯及3芯电缆载流量表

金环宇YJV、YJLV电缆单芯及3芯铜芯铝芯电缆载流量表
YJV铜芯、YJLV铝芯4芯、5芯、3+1芯、4+1芯、3+2芯电缆载流量表

金环宇YJV、YJLV4芯、5芯、3+1芯、4+1芯、3+2芯铜芯铝芯电缆载流量表
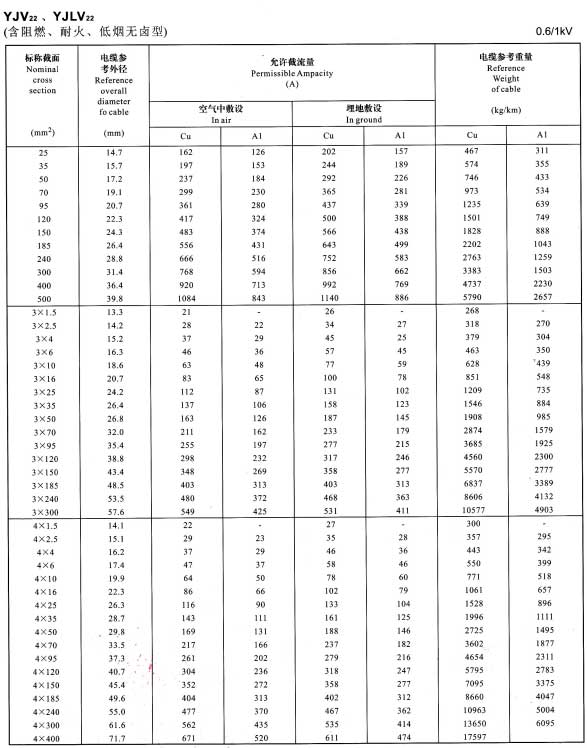
YJV22铜芯、YJVL22铝芯单芯、3芯、4芯铠装电缆载流量表

金环宇YJV22、YJVL22单芯、3芯、4芯铜芯铝芯电缆载流量表
VV铜芯、VLV铝芯单芯、2芯、3芯、3+1芯电缆载流量表

金环宇VV、VLV单芯、2芯、3芯、3+1芯铜芯铝芯电缆载流量表
VV22铜芯、VLV22铝芯单芯、2芯、3芯、4芯、3+1芯铠装电缆载流量表

金环宇VV22、VLV22单芯、2芯、3芯、4芯、3+1芯铜芯铝芯电缆载流量表

